Я б в чиновники пошел
Часто можно услышать фразу, что «если ты такой умный, почему же ты тогда такой бедный?!» Обычно ее произносят ребята, которые разбогатели и немного свысока поглядывают на окружающих.
Так вот, они совершенно правы!
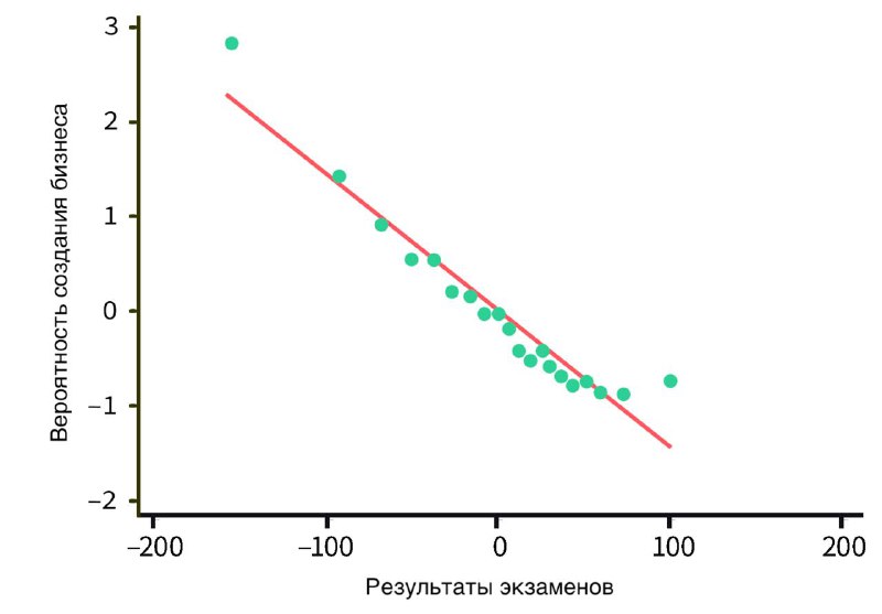
По крайней мере, ученые Стенфорда провели гигантское исследование (более 1,5 млн респондентов и 160 тысяч компаний в Китае) и выяснили, что чем умнее человек, чем выше у него результаты по учебе в вузе, тем больше вероятность, что он пойдет работать на зарплату!
Ученые собрали большие данные по вступительным экзаменам в китайские вузы (разделив университеты на три категории: технологические, гуманитарные и экономическо-юридические), а также проследили учебу в вузах и карьерные пути выпускников. И пришли к выводу, что вне зависимости от выбранной специальности действует правило — чем лучше человек учился, тем меньше вероятность, что он решит создать свой бизнес. Чаще всего среди успешных учеников выбор делался в пользу госорганов и компаний госсектора.
Если же выдающиеся ученики все-таки создавали собственную фирму, то их бизнес был более успешен, чем у тех, кто посредственно учился в университетах. То есть умняши могут быть успешными, просто не хотят!
https://sccei.fsi.stanford.edu/china-briefs/startups-or-state-where-does-china-allocate-its-top-talent
Большинство (более 60%) китайских выпускников мечтают пойти работать в госсектор, потому что там выше стабильность, а еще много всяких ништяков, среди которых важнейший — это возможность получить прописку в крупном городе (в Китае просто так нельзя получить прописку в крупных городах, даже если купить там квартиру).
Впрочем, дело может быть не столько в ништяках, сколько в многосотлетних традициях Китая. В китайской социальной иерархии на вершине пирамиды всегда были чиновники, за ними следовали поэты и художники, потом шли крестьяне, затем торговцы, а далее — военные, шуты и проститутки. А скрепы так просто не разжать!
Источник: t.me

